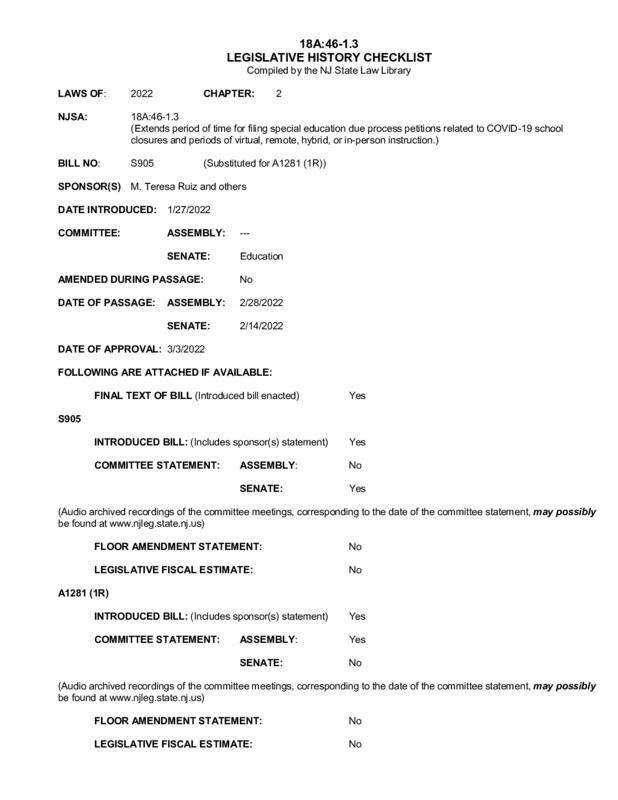
Extends period of time for filing special education due process petitions related to COVID-19 school closures and periods of virtual, remote, hybrid, or in-person instruction.

Loading...
Thumbnail Image

Date

Journal Title

Journal ISSN

Volume Title

Publisher

Abstract

Year: 2022, Chapter: 2

Description

Keywords

Citation

Collections