Skip to main content
Communities & Collections
All of DSpace
Statistics
English
العربية
বাংলা
Català
Čeština
Deutsch
Ελληνικά
Español
Suomi
Français
Gàidhlig
हिंदी
Magyar
Italiano
Қазақ
Latviešu
Nederlands
Polski
Português
Português do Brasil
Srpski (lat)
Српски
Svenska
Türkçe
Yкраї́нська
Tiếng Việt
Log In
Log in with OIDC
Home
Legislative Histories
NEW JERSEY LEGISLATIVE HISTORIES
2021
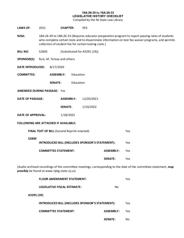
Educator preparation program-report passing rates of students, certain tests
Educator preparation program-report passing rates of students, certain tests
Loading...
Files
L2021c393.pdf
(1.13 MB)
Date
Authors
Compiled by the New Jersey State Library
Journal Title
Journal ISSN
Volume Title
Publisher
Abstract
Year: 2021, Chapter: 393
Description
Keywords
Citation
URI
https://hdl.handle.net/10929.1/32536
Collections
2021
Full item page